Introducing The Rectifier
2023-03-14 | By Jack Hannum
License: Apache License, Version 2.0 Power Supplies Arduino ARM mbed
Any time you have a DC load but an AC power source, you need a rectifier. The easiest and most common way to rectify an AC source is by using a diode bridge rectifier, as shown below:
Let’s break this circuit down, component by component, going left to right.
What comes out of the outlet?
As I mentioned in the intro, the voltage that comes out of a wall outlet is AC, which means it has two important characteristics: amplitude and frequency. In the USA, the outlet outputs 120V at 60Hz. If you’re connected to a normal outlet, the breaker behind it will limit the current to 20A; if you exceed that, you’ll trip the breaker and have to unplug the load that tripped it and reset it before anything connected to that circuit will be powered again. In our application, we won’t get anywhere near that. Our load will only draw 0.5A- and that’s after two voltage step downs (one through the 10:1 transformer, the other through the buck converter, which acts as a DC transformer), each of which reduce the input current so power is conserved, so the current draw from the outlet will be even lower.
Let’s get a handle on what the voltage coming out of the wall looks like.
We know that the voltage we get out of the wall is AC, so it’s sinusoidal and of the form:
V(t) = Vpksin(ωt + φ) (V)
The RMS voltage coming out of the outlet is 120V. We can determine the amplitude of the cosine wave, by multiplying the RMS voltage by √2. We find that the wall voltage reaches a peak amplitude of 169.7V, which we can leave as 120√2, so we don’t forget that the RMS voltage is 120V.
We now know Vpk; we just need ω and φ (as t is time, which will start at 0 and increase for however long we want to look at this waveform).
The phase angle φ is going to be 0 degrees. How do we know? We can just say so, by not comparing this waveform to any other. φ shifts the waveform forward or backward in time. This is useful when you have two otherwise identical waveforms that started at different times; you give one waveform φ=0 and delay the other by increasing φ appropriately. We only have one waveform, so we can call φ=0 and be done with it. Next parameter.
The angular frequency ω can’t just be declared zero, we have to determine it from the non-angular frequency by multiplying that by 2π. We know that in the US, the wall outputs voltage at a frequency of 60Hz. This corresponds to an angular frequency of about 377 radians per second, but it’s often convenient and more informative to just leave the angular frequency as 2π60, which is mathematically the same but has the benefit of telling us what the frequency of the system is in units (hertz) we’d see on a datasheet or standard. We can now write our waveform as:
V(t)=120√2 sinβ‘( 2π60t) (V)
We can plot this and see our waveform:
What does the transformer do?
Simply put, the transformer steps down the voltage to something we can work with more easily. Remember, we have to go from 120V to 3.3V, and that’s a big jump. The transformer can do a lot of the work for us, stepping the voltage down 10x with negligible losses. We can then add controllability and complete the final 12V to 3.3V step down with the buck converter. Stepping down the voltage isn’t all the transformer does. It provides galvanic isolation, which makes this system safer. It also steps up the current to the output, as it steps down the voltage. It does this because power must be conserved. Transformers do not generate energy; they transform it into a different form. The power they get in from the primary must equal the power they put out to the secondary, minus losses. So to get the same power, a decrease in voltage must be compensated by an increase in current of the same size. This relationship can be concisely summarized below:
We get from the secondary winding the same voltage waveform we applied to the primary winding, scaled down by a factor of 10:
What does the diode bridge rectifier do?
Essentially, it takes the negative portions of the transformer output and makes them positive. How does it do this? By varying the connections of the network for different portions of the wave. We can figure out the period of the sinewave by taking the reciprocal of the system frequency; we get 1/60 seconds. You see this when the wall voltage waveform returns to 0V around 0.016 seconds in the figure above. The sine wave crosses 0V once per period, halfway through the period, or every 1/120 seconds, also visible above. It’s logical to divide the period into two sections: one before the zero crossing, the other after. What if we switched the polarity of the voltage source right as it starts to output a negative voltage, right after the zero crossing? We’d get the voltage to start increasing again, and keep it from ever being less than 0V, which might fry our microcontroller.
This is exactly what the diode bridge does, by providing one path to complete the circuit for the period from 0 to 1/120 seconds, and another that reverse the polarity of the voltage source for the period from 1/120 seconds to 1/60 seconds. The cycle then repeats.
This gives us a waveform that still varies from 0 to the amplitude of the signal (12√2, or 16.9V), but now at twice the frequency:
This signal lacks a negative component, which is better than where we started, but is still sometimes zero, which will give us problems when we go to connect our buck converter to the rectifier output. We want a constant output from the buck converter, so giving a more constant input to the converter will make our lives easier.
Before we add a capacitor however, we can use this simple system to approximate the input voltage our buck converter will see. We’ll refine this number accounting for the output capacitor later. By taking the average of the output voltage of the rectifier (an exercise that is left to the reader) we find that the average output voltage of the full wave diode bridge rectifier over one period is
We can do that by adding an output capacitor to rectifier, which will slow the change in output voltage, keeping the output voltage more constant. How big the output capacitor will have to be depends strongly on the load current we expect to pull out of this rectifier. Before we can finish the rectifier, we’ll need a rough-cut calculation of how much current the buck converter will draw.
How much current will the buck converter draw?
The whole reason switching converters were invented is to make up for the fact that magnetic transformers don’t work with DC voltages and currents. It turns out that in steady state, we can treat a properly designed, well controlled buck converter as a step-down transformer for DC circuits. The transformer relationship we saw earlier can therefore be used to determine how much current the converter will draw to serve a load of a known voltage and amperage, like our microcontroller! Recall that our load current is 0.5A at 3.3V, from a source of 10.8V. The voltage is scaled down from input to output by the buck converter by a factor of 10.8V/3.3V=3.28. Therefore, the current is scaled down, from output to input, by the same factor 3.28. The input current to our converter is thus 0.5A/3.28=0.15A.
How big does the rectifier output capacitor need to be?
Knowing the average voltage and current going into the buck converter, we can design an equivalent resistor that, for now, will stand in for the buck converter. The resistance should be R = V/I = 72β¦.
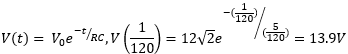
We can now choose the capacitor by choosing a time constant of the resultant parallel RC circuit. The time constant of an RC circuit is π = RC. We know that the period of the voltage pulses is 1/120 seconds, and if we want the voltage across the parallel RC circuit to stay almost constant, we should have a time constant 5x greater than that, or 5/120 seconds. Solving for C and using π = 5/120 s and the previously calculated load resistance, we get an output capacitance of C = π/R = 579μF.
We can likely assume that the voltage remains constant at the peak voltage of the output of the diode bridge rectifier, 12√2V, but we should check the minimum voltage the capacitor reaches in a given period. Assuming we start at 12√2V, the capacitor voltage at t = 1/120s, immediately before it’s recharged by another pulse from the rectifier, can be determined to be:
The 3V swing in input voltage every 1/120 seconds is unlikely to impair the operation of the converter, so we can continue with our design, treating the rectifier with output capacitor as a constant DC voltage source of 16.9V. However, we should keep in mind that the actual waveform is going to look like this:
This also affects the estimated input current we determined before; since the input voltage is higher than estimated, the input current will be lower than estimated.